Claritas
Journey Through The Quran
Journey Through The Quran
Couldn't load pickup availability
Hardcover
Journey Through the Quran: A textbook style companion that will revolutionise your Quranic studies
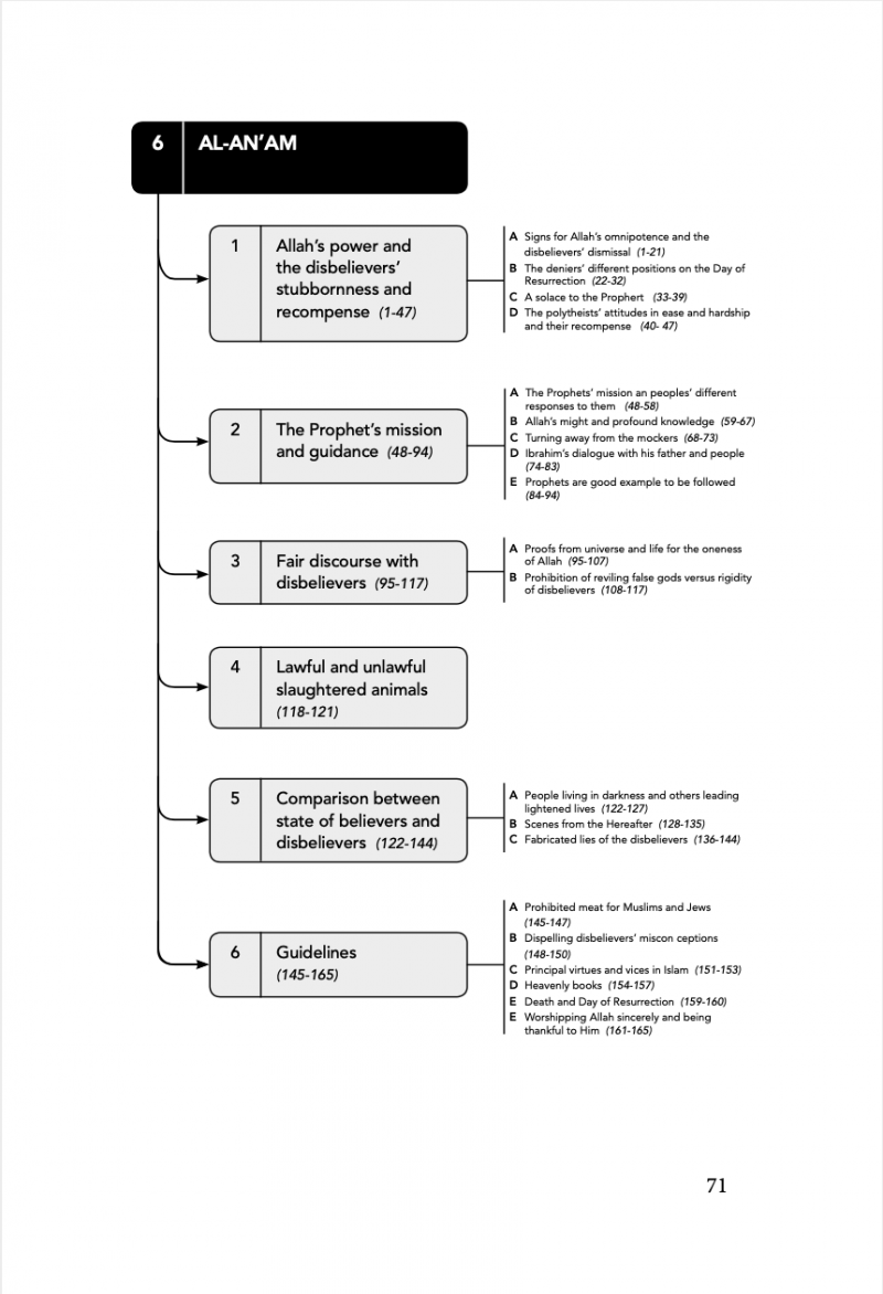
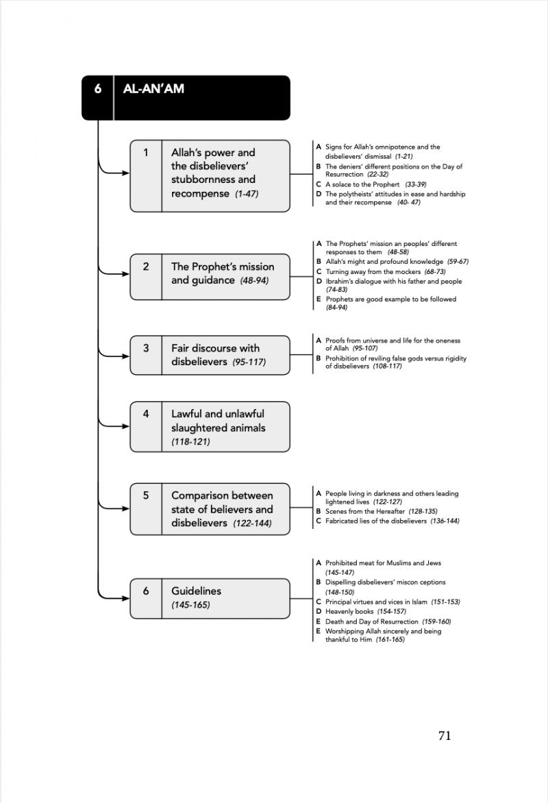
This new Quran companion will assist you in your study of the words of Allah. Journey Through the Quran, is a modern presentation of all the 114 surahs of the Quran, to make it easy for anyone to become a student of the Quran. This book breaks every surah into sections, mind-maps, themes, key verses and selected vocabulary, so that English speakers can instantly familiarise themselves with the individual chapters of the Quran.
Journey Through the Quran is primarily aimed at the English speaking audience, who are used to self-explanatory presentation of information. That is why this unique book is filled with:
■ Diagrams and mind-maps so you can SEE the facts. Ideal for visual learners.
■ Key stories, lessons and messages section: this makes you easily understand the objectives of every chapter and the meaning of Allah’s words.
■ Over 1000 Arabic words translated so that you can start the journey towards learning the language of the Quran itself.
■ Quranic supplications are drawn out from the surahs so you can easily memorise them and implement in your life. Quranic duas are the most powerful way of asking Allah!
■ Key verses section in both Arabic and English, which highlight for you the most important ayat of every surah, so they become instantly recognisable for you.
■ Hardback cover for premium feel in your hands and durability because you will be using this book very often!
Share



